203.移除链表元素
难度:简单
给你一个链表的头节点 head 和一个整数 val ,请你删除链表中所有满足 Node.val == val 的节点,并返回 新的头节点 。
示例 1:

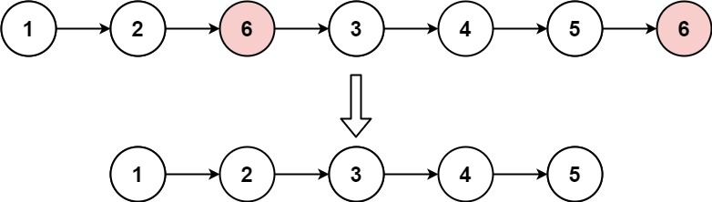
输入:head = [1,2,6,3,4,5,6], val = 6
输出:[1,2,3,4,5]示例 2:
输入:head = [], val = 1
输出:[]示例 3:
输入:head = [7,7,7,7], val = 7
输出:[]提示:
- 列表中的节点数目在范围
[0, 104]内 1 <= Node.val <= 500 <= val <= 50
解题思路
很容易想到的暴力做法是:遍历一遍链表,遇到满足条件的节点就删除。
细节上需要注意的是:
- 如何删除第一个节点
- 如何删除最后一个节点
- 从代码易实现的角度出发,考虑是删除当前节点容易,还是删除当前节点的下一个节点容易
我的代码
public ListNode removeElements(ListNode head, int val) {
ListNode result = head;
// 去掉最前面的需要剔除的节点,获取真正的头节点
while (result != null && result.val == val) {
result = result.next;
}
// 获取当前不需要剔除的第一个节点
ListNode currentNode = result;
while (currentNode != null) {
// 由于没有虚拟头节点,所以这里采用删除当前节点的下一个节点
while (currentNode.next != null && currentNode.next.val == val) {
currentNode.next = currentNode.next.next;
}
currentNode = currentNode.next;
}
return result;
}时间复杂度:O(n)
空间复杂度:O(1)
添加虚拟头节点的做法
假设链表为[1, 2, 3],那么删除中间节点 2 的操作就是让节点 1 的 next 指针直接指向节点 2 的下一个节点就可以了,同理删除尾部节点 3 的操作就是让节点 2 的 next 指针指向节点 3 的下一个节点,当然这里为 null。
那么删除节点 1 该如何操作呢?
这里就涉及到了链表操作的两种方式:
直接使用原来的链表来进行删除操作
移除头结点和移除其他节点的操作是不一样的,因为链表的其他节点都是通过 前一个节点 来 移除当前节点,而头结点没有前一个节点。
所以移除头结点需要将头结点向后移动一位,这样就从链表中移除了一个头结点。
这意味着我们在写题的时候,需要单独写一段逻辑来处理移除头结点的情况,这样不是很方便。
那么可不可以用一种 统一的方式 来移除链表的任意节点呢?
答案就是 设置一个虚拟头结点,这样原链表的所有节点就都可以按照统一的方式进行移除了。
设置一个虚拟头结点再进行删除操作
假设链表为[1, 2, 3],那么给节点 1 加一个前置的虚拟头结点 0(dummyNode),使新链表为[0, 1, 2, 3]。
那么这个时候,我们要移除节点 1 的话,操作和移除节点 2、3 并无区别,我们的移除操作也就统一了。
注意,最后返回结果的时候,由于虚拟头节点的存在,我们需要返回 dummyNode.next,才是真正的头节点。
public ListNode removeElements(ListNode head, int val) {
// 因为删除可能涉及到头节点,所以设置dummy节点,统一操作
ListNode dummy = new ListNode(0, head);
ListNode pre = dummy;
ListNode cur = head;
while (cur != null) {
if (cur.val == val) {
pre.next = cur.next;
} else {
pre = cur;
}
cur = cur.next;
}
return dummy.next;
}时间复杂度:O(n)
空间复杂度:O(1)
总结
如果使用 C,C++ 编程语言的话,不要忘了还要从内存中删除这两个移除的节点。
当然如果使用 Java ,Python 的话就不用手动管理内存了。
注意虚拟头节点的引入,可以使代码逻辑更统一。