Skip to content

617.合并二叉树

难度:容易

给你两棵二叉树: root1root2

想象一下,当你将其中一棵覆盖到另一棵之上时,两棵树上的一些节点将会重叠(而另一些不会)。你需要将这两棵树合并成一棵新二叉树。合并的规则是:如果两个节点重叠,那么将这两个节点的值相加作为合并后节点的新值;否则,不为 null 的节点将直接作为新二叉树的节点。

返回合并后的二叉树。

注意: 合并过程必须从两个树的根节点开始。

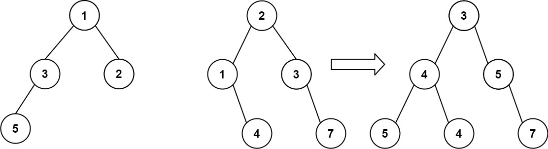
示例 1:

img

输入:root1 = [1,3,2,5], root2 = [2,1,3,null,4,null,7]
输出:[3,4,5,5,4,null,7]

示例 2:

输入:root1 = [1], root2 = [1,2]
输出:[2,2]

提示:

  • 两棵树中的节点数目在范围 [0, 2000]
  • -104 <= Node.val <= 104

递归法

这道题和 100.相同的树 感觉很像,都是同时要对两棵树进行操作。

算法步骤:

  1. 检查基本条件:如果两个根节点 root1root2 都为 null,说明两棵树在这个位置上都没有节点,因此合并后的树在这个位置上也应该没有节点,直接返回 null
  2. 单一非空树的处理
    • 如果 root1nullroot2 不为 null,说明只有第二棵树在这个位置上有节点,直接返回 root2 作为合并后的节点。
    • 同理,如果 root1 不为 nullroot2null,直接返回 root1
  3. 合并节点值:如果两个根节点都不为空,创建一个新的树节点root,其值为 root1root2 节点值的和(root1.val + root2.val)。
  4. 递归合并左右子树
    • root1root2 的左子节点递归调用 mergeTrees 函数,将返回值设置为新树 root 的左子节点。
    • root1root2 的右子节点递归调用 mergeTrees 函数,将返回值设置为新树 root 的右子节点。
  5. 返回合并后的树的根节点:递归处理完所有节点后,返回新创建的树的根节点 root

代码展示

java
public TreeNode mergeTrees(TreeNode root1, TreeNode root2) {
    if (root1 == null && root2 == null) {
        return null;
    }
    if (root1 == null && root2 != null) {
        return root2;
    }
    if (root1 != null && root2 == null) {
        return root1;
    }
    TreeNode root = new TreeNode(root1.val + root2.val);
    root.left=mergeTrees(root1.left,root2.left);
    root.right=mergeTrees(root1.right,root2.right);
    return root;
}

时间复杂度:O(n),其中 n 是二叉树的节点数。每一个节点恰好被遍历一次。

空间复杂度:O(1),因为这种做法没有使用队列,所以大大降低了空间复杂度。

队列迭代法

首先我们引入队列,这是把递归程序改写成迭代程序的常用方法。

使用一个队列,并成对地将两棵树的节点加入队列,然后逐一比较这些节点的值。

算法的核心逻辑:

  1. 边界条件处理:如果 root1 root2 中的任意一个为null,直接返回另一个节点。这意味着如果有一棵树为空,合并后的树就是另一棵树。
  2. 使用队列进行层序遍历:初始化一个队列 queue,并将两棵树的根节点作为一对节点加入队列。这个队列用于存储待合并的节点对。
  3. 迭代合并:在队列不为空的情况下,循环执行以下操作:
    • 从队列中弹出两个节点 node1node2。由于之前的判断,这两个节点都不会是 null
    • node2 的值加到 node1上,实现节点值的合并。
    • 接下来检查这两个节点的左子节点和右子节点:
      • 如果 node1node2 的左子节点都不为 null,则将它们加入队列以待后续合并。
      • 如果 node1 的左子节点为 nullnode2 的左子节点不为 null,则直接将 node2 的左子节点赋给 node1 的左子节点。
      • 对于右子节点的处理逻辑与左子节点相同。
  4. 返回合并后的树:当队列为空,即所有节点对都已处理完毕时,返回合并后的树的根节点 root1

代码展示

java
public TreeNode mergeTrees(TreeNode root1, TreeNode root2) {
    // 如果其中一棵树为空,则直接返回另一棵树
    if (root1 == null) return root2;
    if (root2 == null) return root1;

    // 使用一个队列存储节点,成对地将节点加入队列
    Deque<TreeNode> queue = new LinkedList<>();
    // 成对地将根节点加入队列
    queue.add(root1);
    queue.add(root2);

    while (!queue.isEmpty()) {
        // 每次取出两个节点进行比较
        TreeNode node1 = queue.poll();
        TreeNode node2 = queue.poll();

        // 此时两个节点一定不为空,val相加
        node1.val += node2.val;

        // 如果两棵树左节点都不为空,加入队列
        if (node1.left != null && node2.left != null) {
            queue.add(node1.left);
            queue.add(node2.left);
        }
        // 如果两棵树右节点都不为空,加入队列
        if (node1.right != null && node2.right != null) {
            queue.add(node1.right);
            queue.add(node2.right);
        }
        // 当node1的左节点为空,node2左节点不为空,就赋值过去
        if (node1.left == null && node2.left != null) {
            node1.left = node2.left;
        }
        // 当node1的右节点为空,node2右节点不为空,就赋值过去
        if (node1.right == null && node2.right != null) {
            node1.right = node2.right;
        }
    }

    // 返回合并后的树的根节点
    return root1;
}

时间复杂度:O(n),其中 n 是二叉树的节点数。每一个节点恰好被遍历一次。

空间复杂度:O(n),最差情况下,即当树为满二叉树时,最多有 (n+1)/2 个树节点 同时queue 中,故使用 O(n) 大小的额外空间。

总结

通过迭代地合并节点对,这个算法有效地将两棵树合并成一棵新树。

使用队列进行层序遍历确保了每一层的节点都被适时地合并。对于每一对节点,通过直接修改node1来实现合并,这样避免了创建新节点,同时也保证了合并后的树仍然保持二叉树的结构。